The Economics of Procrastination: Why You’ll Always Do Your Work at the Last Possible Second
You tell yourself you’ll write your essay tomorrow. But then it’s 4am, and suddenly you’re staring at a blank page. Procrastination isn’t just a poor decision, it makes no economic sense. Behavioural economics suggests we consistently prioritise the present over the uncertain rewards of the future. It encourages individuals to indulge immediate desires, even while knowing those choices are not valuable in the long term.
This article aims to explain why this happens: time inconsistency explains why so many projects are postponed continuously till they’re addressed; present bias explains why immediate rewards win in our minds every time, regardless of the injury they do you.
Why We Procrastinate (and Then Hate Ourselves)
Conventional economic theory assumes that humans make rational decisions and weigh costs and benefits evenly over time. If that were the case, procrastination would not exist. Yet many people fail to follow through – they do not save when they should and repeatedly choose instant gratification over long-term benefit.
Behavioural economics explains this through the concept of time inconsistency, which suggests that people’s preferences shift depending on when a decision is made. This leads to present bias, our tendency to overvalue short-term rewards and undervalue the benefits intended for our future selves. For example, a student may plan to work on Sunday, but when the time arrives, chooses to scroll through social media instead. The student has not abandoned their goals, but rather experiences a moment of distorted priority, which prevents their future self from acting.
Behavioural economists refer to this as a persistent failure to resist temptation. The issue is not whether someone procrastinates, but why they do. It is this underlying bias in decision-making, not laziness or a lack of energy, that behavioural economics seeks to explain and address.
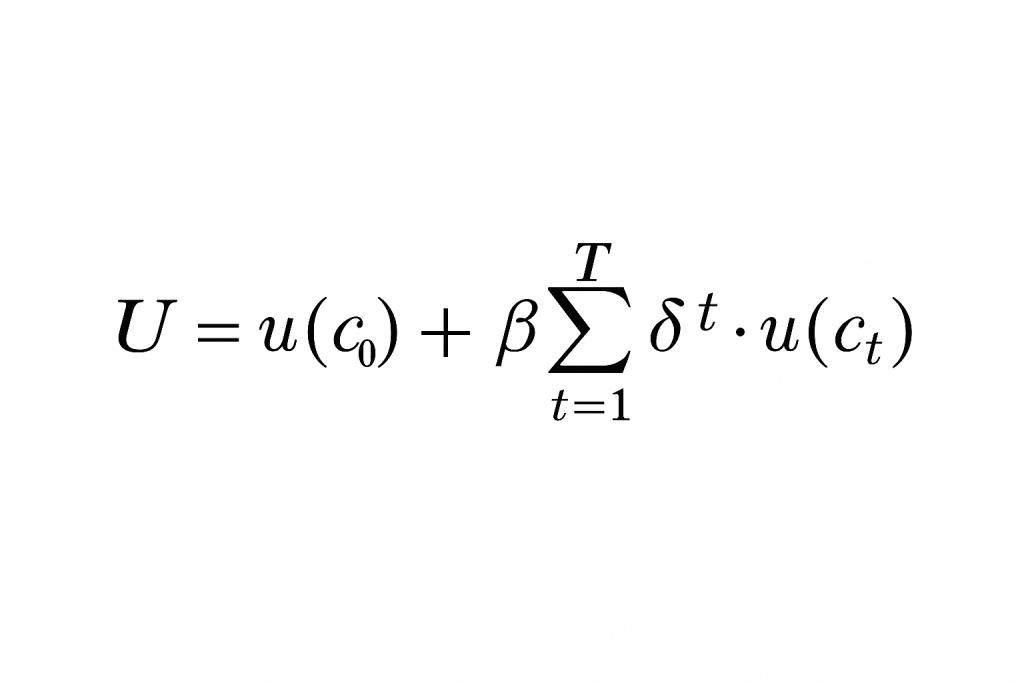
Hyperbolic Discounting: How Behavioural Economics Explains Delay
A core model in behavioural economics is hyperbolic discounting. This model explains why we put things off even though we know that we should not. Specifically, it demonstrates that we value immediate rewards much more than future ones. Classical economics assumes we discount the future gradually with a smooth curve.

- U = total utility (the overall value you get from your decisions)
- u(c0) = value of what you do right now
- u(ct)= value of what you do later (at time t)
- δ = standard discount factor (how value decreases with time)
- β = present bias factor (extra discount on everything that’s not immediate)
In this equation, the value of what you do now, u(c0), stays the same. But future rewards – like finishing your essay – get discounted twice: once, by time, (delta t) and once just for being in the future (β). If β<1, your brain heavily undervalues everything that isn’t immediate.
That’s why procrastination happens. Even if you planned to work today, the instant reward of avoiding effort feels more valuable, because the maths your brain is using makes the future look too small to matter.

Figure A: Hyperbolic discounting (red) falls sharply at first, unlike exponential discounting (blue), which falls at an even pace. The steep decline shows how much people discount anything that is not in the moment.
This chart really lays the difference out: the blue curve is the ordinary exponential discounting model which is based on a classical economic theory that people decrease the value of future rewards in a smooth, steady way.
The red line is the hyperbolic discounting of behavioral economics. It drops sharply at the beginning, and this marks the key insight: as soon as a reward is no longer immediate, its value falls dramatically. This rate of decline decelerates with increasing age. This early fall is what causes present bias. It is not that people are blind to the future, but rather that the mind weighs the present much more heavily. Behavioral economists draw upon this to explain why savers or procrastinators put off action, with some planning to do so only “tomorrow” which feels no more immediate than today.
Outsmarting Ourselves: Behavioural Tools That Work
Behavioural economics not only explains why people procrastinate, but also identifies the triggers behind it. Joining your friends or being held accountable for not completing your work can create a series of cascading consequences for procrastination. Despite the current distractions, think and plan ahead. Using reminder systems, visual goal-setting, and progress-tracking tools such as the YPT app can help maintain motivation over the long term. These seemingly simple tasks can only be performed if you yourself are motivated.
Procrastination isn’t an inherent surprise; it’s a mundane process of decision making, and prone to the same cognitive biases that all decision making is. While waiting is irrational in the framework of classical economics, it is bound to occur within behavioral economics. Plus, the tendency to favor short-term gains and inconsistency in the valuation of long-term rewards are some of the first steps towards understanding why we continuously opt for momentary comfort over eventualities. It is through system design that has equilibria that are best aligned with greater making and less procrastination that we can have such a system, so economics has an answer.
